高等部泉中央教室
いいとこどり、どうも紫竹です。
高3の数学の授業は基本的にすべてアーカイブ受講+添削というスタイルなのですが、
今年はそれにプラスして毎週1題LIVE授業をしてみようと思っています。
(本当は昨日(18日)実施しているのですが、これを書いているのは17日なので・・・)
LIVEにはLIVEの良さがあるとも思います。
任意参加という体にしていますが、何人が挑みに来るでしょうか。
そういう姿勢が合否を分けるような気もしますね。
さて、今日の数学は、横浜市立大学2022年、理学部の1番です。
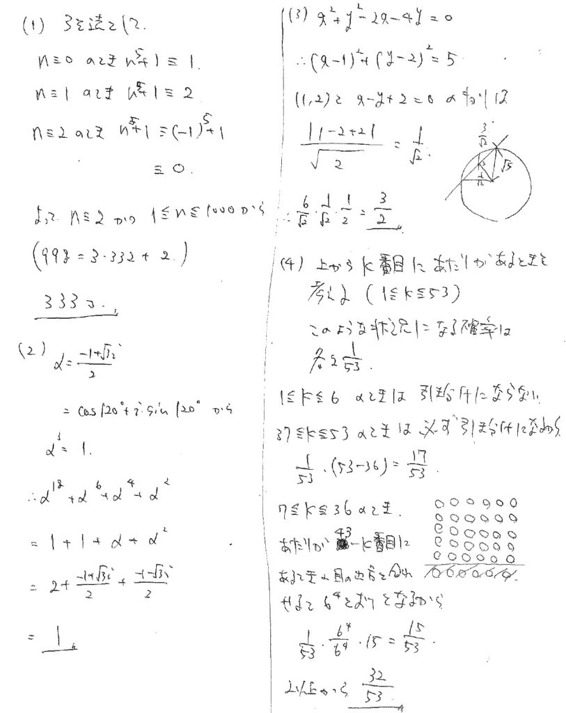
こんな問題でした。小問集合で画像2つです。


なんでしょう、この(4)のヤバそうな感じ(笑)
見るからに危険そうですが、実際にはどうでしょうか。

(1)~(3)は超典型問題でしたが、予想通り(4)が強烈でした・・・
試行の回数が不定だから神様の順列的に考えるのは良いとして、
4つのサイコロの目の和については直接計算は無理と踏んで、対称性に注目しました。
これはなかなか渋い問題ですね・・・けっこう時間かかりました。
しかし、ゴリ押すことすらできない複雑さなのだから、ウマい抜け道があると発想するのは自然です。
そんなことに気付かせていただきました。ありがとうございました。
今日の音楽は どうせまた / 狐火 Track by 夜凪うつつ です。
高等部泉中央校 紫竹