高等部泉中央教室
見やすい答案を書くために.
こんにちは,森山です.
今日は数学の答案用紙のお話を.
答案用紙には,あなたが数学の問題をどのように解いたのか,
というのが採点者に伝わらなければなりません.
乱雑な字や,乱雑なレイアウトで,
「どこに何が書かれているのか分からない」ものは,
基本的には採点されないものと考えるべきでしょう.
(※あくまで一般論です.採点基準として公表されたものへの言及ではありません)
そして,答案用紙には限りがあります.
私の字は大きいので,無計画に答案を書き進めていくと,
簡単に余白不足に陥ります.そこで,私は毎回ある工夫をしています.
下の画像は,何の変哲もないA4の白い紙です.

今から,このA4用紙の片面1枚に,数学の答案を作ってもらいます.
みなさんはこのA4用紙をどう使って答案を作りますか?
私は,答案を書き始める前に,必ず下の画像のようにします.

気付きましたでしょうか?
そうなのです,
縦に折り目をつけて,2列に分けています.
2列に分けて,左列から答案を書き始めることで,
少しでも見やすいレイアウトになるようにしています.
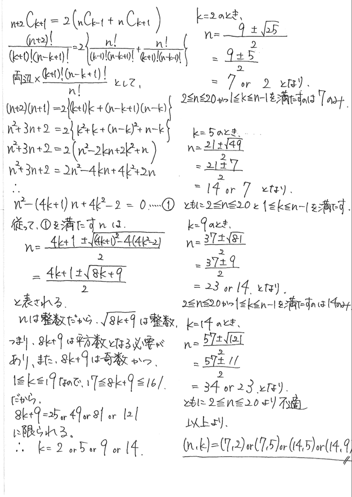
こうして2列に分けたレイアウトで,1問答案を作ってみます.
次の問題は,2023一橋大の問題の1つです.

高校新課程では,
数学A「場合の数と確率」「数学と人間の活動」からの出題になります.
私は,以下のように解いてみました.

先述したように,A4用紙を縦に2つ折りして,
2列のレイアウトで作ってみました.
解法に関してはこれ以外にも存在することでしょう.
①をnではなくてkについて解いたほうがラクかもしれませんね.
私はこのスタイルが一番しっくり来ます.
普段のB5のノートも,片側1ページの紙面を縦に2つ折りにして,
2列にして使っています.
答案用紙は,あなたが知っていることのすべてを採点者に伝えるためのものです.
判読に苦労する字(乱雑な字,小さい字など)や,
どこに何が書いてあるのか分かりにくいレイアウトでは,
あなたの意図は正しく伝わらないかもしれません.
読みやすくて分かりやすい答案作りを訓練しましょう!
高等部泉中央校 森山 昇平