高等部泉中央教室
まだ夏休み、どうも紫竹です。
小中高ともまだ夏休みだと思いますが、塾はもう始まっています。
当塾の方針としては基本的に
「学校の先取りをして、学校の授業の理解度を高める」
なので、学校より先に通常授業を再開することには意義があるのです。
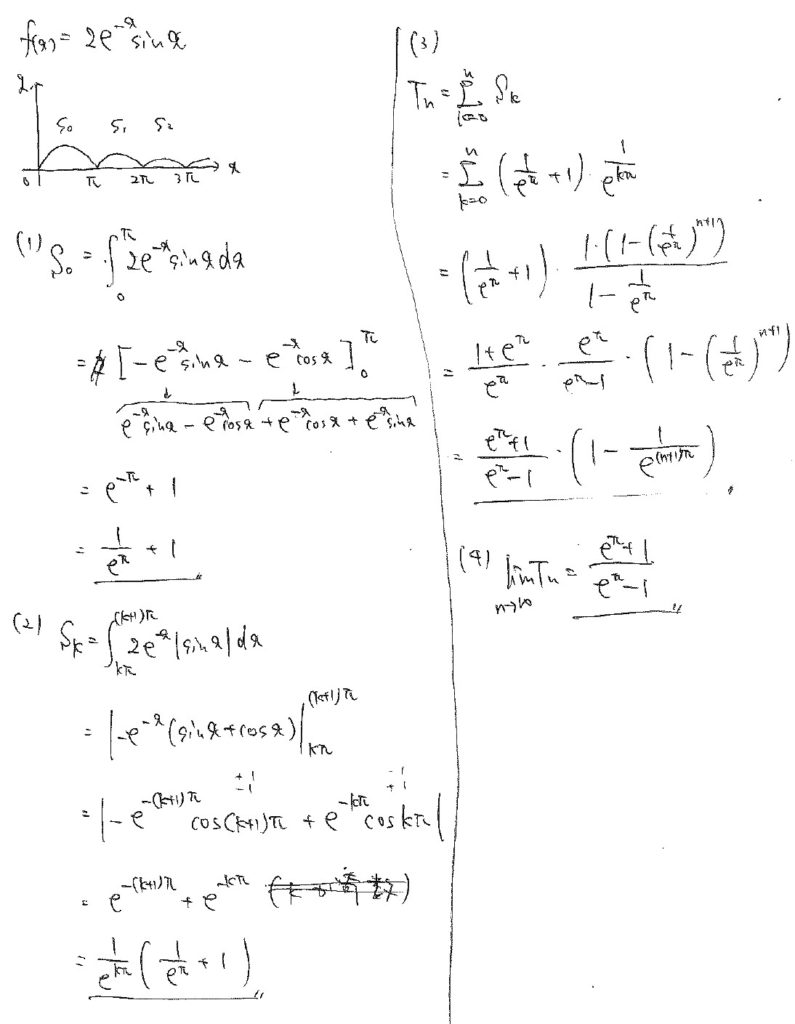
さて今日の数学は、福島大学2022年の理工学部4番です。
こんな問題でした。

減衰するコブの面積の典型問題ですね。誰もが一度は解いたことがあるでしょう。

偶奇で場合分けるのかなと思ったら、不要でした。
その後も等比数列の和、極限と平坦な計算問題でしたね。
これは確実に完答したい問題なのではないでしょうか。
ありがとうございました。
今日の音楽は 明日の叙景 – キメラ です。
好きなものと嫌いなもの そのまま一緒に抱えていたらいけないの?
高等部泉中央校 紫竹