高等部泉中央教室
最終回、どうも紫竹です。
今日は中学3年生のオンラインLIVE講座『プレ実戦ゼミ』の最終回です。
部活などで疲れているのに毎週戦いに来てくれた生徒の皆さん、
各教室で講座運営をサポートしてくれたスタッフの皆さん、
本当にありがとうございました。
ゼロベースで問題や復習課題や授業用のpptを作りながら4か月間走ってきた小松先生と私も超えらいです。
本当にお疲れさまでした。今夜は良い日本酒を呑もうと思います。
「教室でオンライン」という、一見するとオンラインの強みを損なっていそうな講座運営が、
実はとてもハマった感触があります。
でっかいモニターとスピーカーとかあればさらに面白いのかなあ。
17年くらい塾やってますけど、いまだに日々試行錯誤です。
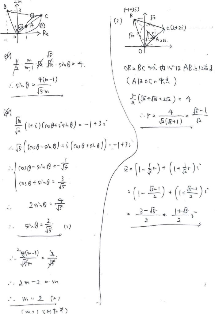
さて、今日の数学は東京農工大学2022年の1番です。
こんな問題でした。

おやおや、初っ端から複素数平面の問題ですね。
現役生の中には複素数平面を見ただけで敬遠してしまう人もいるのでは?
[3]が複素数と内接円という相性の悪そうな設問ですが、いかがでしょうか。

[1]はmを用いないで答えてほしい設問のようですね。
[2]の問題を読んで気づきました・・・
まあ、おかげで[1]と[2]が同時に解けたようなものなので、結果オーライです。
問題の[3]ですが、不覚にも3分くらい悩んでしまいました。
角の2等分線の方程式2本作って連立するのかななんて思いつつ、
やたらと計算が重くなりそうな上に誘導が効いていないよなあなどと。
ここで定石
「正攻法では処理が大変になる問題は、特殊な設定である可能性がある」
の登場です。
二等辺三角形だったじゃないですか・・・
見えてしまえばラッという間に終了です。
上記の定石は、典型問題集をやっているうちには気づけないでしょう。
入試問題演習を通じて見えてくるものです。
今日の記事はしっかり授業になってしまいましたね・・・
無料ブログなのに・・・大盤振る舞い・・・
出し渋っても仕方がないですからね。
大変よろしいのではないでしょうか。
今日の音楽は SPECIAL OTHERS – Timelapse です。
ブレませんね。毎度素晴らしいです。
高等部泉中央校 紫竹